热裂是金属凝固过程中形成的破坏性缺陷,广泛存在于涉及液固转变的金属制备领域。热裂的基础研究已有逾百年的历史,但是由于热裂的复杂性加之测试手段的限制,热裂的物理本质没有被完全揭晓,热裂扩展的机理和条件仍没有明确的定论,从而无法对热裂形成有效的预测和防治。
为探索热裂形成的机理和条件,团队基于冶金凝固过程热模拟方法开发了动态加载凝固裂纹热模拟试验机。该装置通过控温冷却和主动加载来模拟铸件/铸坯中特征单元的实际凝固过程并模拟其热裂行为,实验过程可实时测量应力、应变和温度数据。利用该装置可以深入挖掘不同材料的热裂机制,获取热裂的临界条件,为预测和预防热裂缺陷提供支持。

动态加载凝固裂纹热模拟试验机原理图

动态加载凝固裂纹热模拟试验机实物照片
在热裂热模拟试验机和热裂热模拟方法的基础上,CAST团队围绕合金的热裂问题开展了一系列研究。
1.Zhong, H. et al. Hot tearing behavior of AZ91D magnesium alloy. J. Magnes. Alloy., (2023).
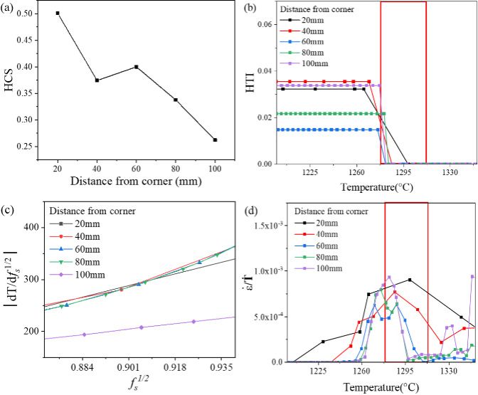
在合金凝固过程中,对合金的热力行为进行定量和可控的测量对于理解热裂的形成至关重要。选用热裂问题较为严重的AZ91D镁合金作为研究对象,使用热裂热模拟实验方法和装置,通过控制冷却和主动加载来表征热裂行为,在连续冷却条件下,于选定的固体分数强制热裂形成,测量应力、应变、应变速率和温度等热裂临界条件。

AZ91D镁合金热裂实验结果
实验结果表明,AZ91D镁合金的热裂存在临界局域应变速率,且应变速率直接影响热裂发生时的局域温度、临界应力和累积应变。随着局域应变速率增加,其热裂会发生在两个不同凝固阶段——共晶凝固末期和枝晶凝固末期,并且表现出明显不同的力学行为。

AZ91D镁合金热裂临界条件
2.Zhong, H. et al. Understanding the roles of interdendritic bridging on hot tearing formation during alloy solidification. J. Mater. Res. Tech. 27, 5368-5371 (2023).
晶间搭桥理论是在液膜理论的基础上提出,认为在热裂过程中除了液膜提供的强度外,枝晶搭桥还可以提供部分强度,而且可能在裂纹扩展中也有关键影响。但对晶间搭桥性质的描述仍然非常模糊,这严重影响了糊状区材料力学性能测量和凝固裂纹形成预测的准确性。本研究详细描述了枝晶搭桥的形成过程,定义并描述了枝晶间机械搭桥和冶金搭桥的形成过程,分析了搭桥对热裂纹扩展的影响,为热裂纹扩展过程研究及其模拟预测提供了新的思路。

凝固过程中形成机械搭桥和冶金搭桥的示意图
理论模型:金属凝固过程中,枝晶间会先后形成两种类型的搭桥:(1)机械搭桥,枝晶彼此接触,但仅通过液膜的表面张力连接;(2)冶金搭桥,枝晶互相接触的部位以冶金方式结合。机械搭桥不能有效阻碍裂纹扩展,宏观上呈脆性断裂特征,而冶金搭桥则会阻碍裂纹扩展,宏观表现为韧性断裂特征。另外,实际凝固中,机械搭桥和冶金搭桥往往混合存在,只是随凝固的进程二者含量会出现此消彼长,因此热裂测试曲线会表现出复杂的力学特征,热裂纹的预测也需要更为合理和微观的模型。
机械搭桥和冶金搭桥的描述及其对热裂纹扩展的影响规律在高锰钢的热裂测试中得到证实。

高锰钢热裂中的力学特征及对应的机械搭桥和冶金搭桥其
3.Lin, Z. et al. New Insights into the Features of Hot Tearing Formation in High-Carbon Steel Under Tensile Loading. Metall. Mater. trans. B. 54, 2870-2874 (2023).
凝固裂纹临界强度的来源已由液膜理论、晶间搭桥理论等进行解释,但晶间搭桥和液膜协同作用抗凝固裂纹的机制尚不清楚。本研究使用自主开发的热裂测试装置,对高碳钢热裂纹形成的临界条件进行了测试,揭示了液膜和固体骨架对糊状区凝固裂纹强度的贡献机理。

高碳钢热裂测试初始阶段的低模量现象及补缩流变过程示意图
实验结果表明,热裂纹的扩展呈现出两种不同的扩展机制:裂纹沿液膜扩展和枝晶搭桥阻碍裂纹扩展。且在加载和应变产生的初始阶段,应变-应力曲线的模量出现先低后高的规律,它反映了液膜何时在张力作用下开始抵抗拉应力。我们提出了一个物理模型来解释它,并验证了应变率与低模量应变之间的关系。
4.Lin, Z. et al. A hot tearing propagation model for steel. J. Mater. Process. Tech. 324, 118273 (2024).
热裂的物理本质至今没有被完全揭晓,热裂扩展的机理和条件仍没有明确的定论。这项研究提出了基于能量平衡的热裂纹扩展模型,并利用原创热裂热模试验机测试了钢的热裂扩展条件。结果表明,“机械搭桥"和“冶金搭桥”条件下,热裂表现出明显不同的力学行为,但其裂纹能释放率分别为定值。基于模型和实验现象推导出了热裂纹扩展判据,仿真结果与实际裂纹发生情况符合很好。该工作为定量研究和预测合金热裂行为提供了新的思路。

热裂扩展示意图、试验结果及热裂扩展判据
实验结果表明,热裂扩展时晶间搭桥受否参与抵抗热裂,使材料在热裂过程表现出明显不同的力学行为。在裂纹发生不可逆的迅速扩展时,不同断裂情况(有无搭桥)下的裂纹能释放率存在明显差异,又分别为定值。据此提出了基于能量平衡且考虑了晶间搭桥的影响的热裂扩展模型与判据,并将其应用于数值模拟,判据包含开裂判断,同时具备热裂敏感性指标。


热裂扩展判据在数值模拟中的应用及其他判据对比
CAST研究团队的这些工作,探究了热裂过程中材料的力学行为,关注了晶间搭桥的演变以及对热裂的影响,完善了热裂扩展理论,同时开发了相适应的模型与判据,为具有挑战性的热裂预测与防治提供了新的视角。